70-CM Yagi Stacks
Part 1: 10- to 40-Element DL6WU Examples

L. B. Cebik, W4RNL

The 2-part series on 2-meter Yagi stacks showed an interesting anomaly with respect to the optimal vertical spacing for stacked beams. The required spacing for maximum gain did not form a smooth curve. Instead, it displayed a region between about 1.8 and 2.2 wavelengths spacing, a zone I called the "forbidden zone." Regardless of the Yagi design and boom length, no gain peaks occurred with spacing in this region. The curve of gain vs. stacking space is generally flat in the region, with a small peak below the region for a shorter boom Yagi and a small peak above the region for longer Yagi. So there is a theoretical possibility that a hypothetical beam of just the right boomlength and number of elements might have two peaks of equal strength: one at the lower edge of the zone and one at the upper edge. However, most real Yagi designs do not happen to come in just the right combination of ingredients to display that possibility.

The so-called forbidden zone is actually a boon to Yagi stack designers. The level and near-peak gain that exists in this region makes physical stack design less critical. Indeed, for arrays like the DL6WU design--where the front-to-back ratio varies considerably with the addition of each new director--the builder can choose the spacing within the zone that yields the highest front-to-back ratio and still be very close to peak gain for the stack.

The 2 series of Yagis tested in the stacking exercises--the OWA and DL6WU designs--limited the maximum boomlength to between 5.2 and 5.4 wavelengths, a little under 11 meters and a little over 35'. This length region exceeds the practical limit of 2-meter Yagis for almost all stack builders. Nevertheless, some questions remain about the forbidden zone, questions that we can only answer by trying longer boomlengths. Perhaps the most outstanding question is whether there are additional forbidden zones as we increase the size of the Yagi as a function of both the boomlength and the number of elements. To remain within the realm of the nearly practical, I shifted the frequency range to the 70-cm band. The 420-450-MHz band allows beams with up to 40 elements and 14 wavelength booms in the same space that our 18-element 2-meter Yagis occupied.

The change in band also requires a few changes in the procedure for the NEC-4 modeling exercise. 4 mm is a popular element size in Europe, and the DL6WU 70-cm Yagis initially used this element. At about 0.1575", it falls between the common US rod diameters of 1/8" and 3/16". However, relative to a wavelength, 4 mm represent an element that is nearly 3 times larger than the 3/16" elements used in the 2-meter beams.

For DL6WU designs, as calculated via the program dl6wu-gg.exe, element spacing remains unchanged, regardless of the element diameter. The arrays are sufficiently broadbanded that optimizing spacing for changes in the element diameter is unnecessary to produce a successful beam. Still, the change in element diameter does alter the inter-element coupling to a degree for which simply adjusting all element lengths cannot compensate. The most evident results will be changes in the pattern of front-to-back peaks and 50-Ohm SWR dips across the band as we change element diameter and recalculate the elements for the same boomlength.

Changing the modeling frequency also necessitates another change of procedure. It was possible at 2 meters to set the beams at a base height of 5 wavelengths above average ground. By setting the elevation plot increment to 0.1 degree, we obtained quite accurate forward gain reports for the main lobe of the radiation pattern. As well, the height of about 35' or 10.5 meters was realistic for numerous installations.

As we increase the height of an array, we increase the number of elevation lobes, and each lobe is correspondingly narrower. If we place the antenna too high above ground, as measured in wavelengths, the lobes can grow so vertically thin that even 0.1 wavelength increments of elevation can miss the peak gain of the lowest lobe. We encounter precisely this situation in raising the design frequency to 432 MHz. 35' represents about 15 wavelengths above ground in the 70-cm band. To obtain the same resolution as we obtained on 2 meters, we would need an elevation increment no greater than 1/3 the value used on 2-meters, with consequential increases in the run time for each model at each trial stack spacing.

Any Yagi design that we use at 432 MHz will employ 11 models ranging from 10 to 40 elements for each of the 2 Yagis in the stack. (The sequence of models--for convenience--will use the number of elements as markers, resulting in models having 10, 13, 16, 19, 22, 25, 28, 31, 34, 37, and 40 elements.) To conserve overall run-time, I shall place all models in free space. The gain adjustment for placement over ground is just under 6 dB. With all models in free space, we can obtain all of the necessary information from a single azimuth pattern using pattern increments of 1 degree.

The procedure carries with it one limitation. In the 2-meter sequence, we saw that the difference between a free-space environment and placement over ground resulted in a shift in peak-gain spacing for one model on the fringe of the forbidden zone. The 12-element OWA model showed optimal stack separation at about 1.65 wavelengths 5 wavelengths above ground but at about 2.35 wavelengths when in free space. The actual difference in gain between the two separation values is small in both cases. Nevertheless, this phenomenon should be kept in mind when evaluating the results of this study.

Selecting a Yagi series for this 70-cm study initially presents no problems. Although there are no OWA designs beyond 20 elements, the DL6WU series of Yagis has no practical limit other than a physical limit specified by the builder. Hence, the extended study of 2-stack separation reasonably begins with this classic set of Yagi designs.

Notes on Long-Boom DL6WU Yagis for 432 MHz

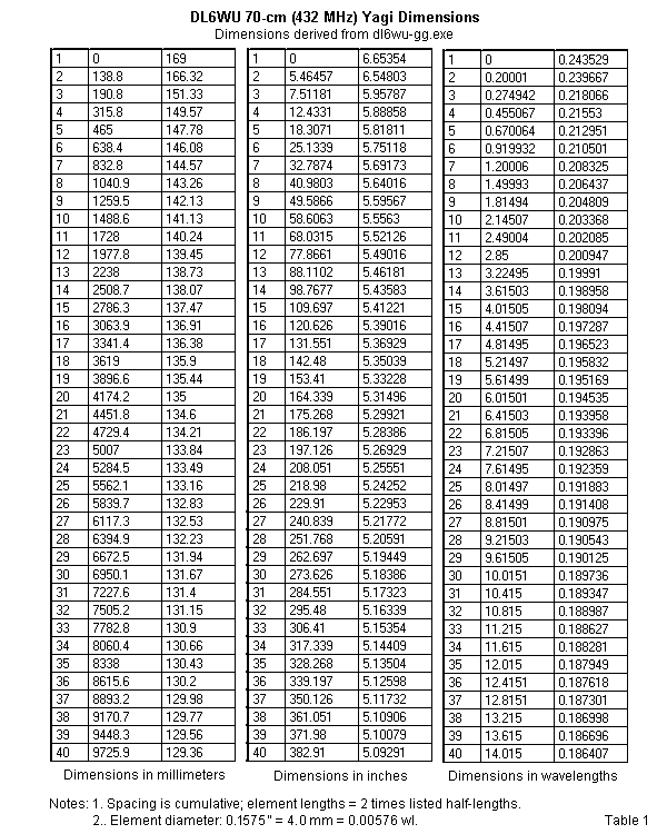
All DL6WU designs used in this study emerge from the program dl6wu-gg.exe. As noted in the 2-meter study, we only need a single set of dimensions, the ones for the longest version of the beam series. In this case, the limit is 40 elements. Table 1 presents those dimensions for an element diameter of 4 mm. The dimensions appear in millimeters, inches, and wavelengths.

The longest boom in the set is just over 14 wavelengths (about 31.9' or 9.73 meters). The shortest version of the Yagi set, at 10 elements, falls within the boomlength range countenanced by the program. Each trial version of the antenna adds 3 elements, so there are 11 total Yagis in the set. The study uses the number of elements as its baseline in order to yield a linear X-axis scale for all graphs. However, the boomlength does not increase linearly because the impedance-setting core and early directors of the design do not increase the length in a linear manner. Since the gain is a function of boomlength rather than the number of elements, gain does not increase in a linear manner with the number of elements. Fig. 1 shows the 432-MHz free-space gain range for the test series of Yagis in terms of their single-unit performance.

The DL6WU series of Yagis becomes ever more stable in performance as we increase the boomlength and the number of elements. Table 2 supplies the free-space performance values for the set of trial designs, and includes values for both the vertical and horizontal beamwidths and sidelobe ratios. The beamwidth values will become significant later when we compare the calculated stacking spacing values to the modeled values. The front-to-sidelobe ratio is the differential between the main forward pattern lobe and the strongest forward sidelobe.

In conventional Yagi designs, sidelobes form at a rate of about 1 forward and 1 rearward--each side of the beam's centerline--for every wavelength of boom. Fig. 2 shows representative patterns for the 10-, 25-, and 40-element versions of the DL6WU Yagi. The corresponding boomlengths are 2, 8, and 14 wavelengths. As an idle-time activity, you may wish to count both the forward and rearward sidelobes and obtain the rerquisite number for each category. However, the actual count may require an enlargement of the pattern and a finer pattern increment, since the lobes very close to 90 degrees off axis are very small and narrow, especially in the E-plane.

Because the front-to-sidelobe values do not form a consistent curve, we may for reference take their average values. The average horizontal sidelobe ratio is 17.7 dB, while the average vertical sidelobe ratio is 14.7 dB. Of course, in free-space, the notion of horizontal applies to the antenna's E-plane, while the idea of vertical applies to the H-plane, as if the antenna were horizontally polarized over ground. Fig. 3 provides a more detailed graphical look at the front-to-sidelobe ratio values. From 10 to 19 elements (2.1 to 5.6 wavelength booms), the horizontal and vertical sidelobe ratios almost form inverse curves. However, above 19 elements, both curves show a decreasing front-to-sidelobe ratio.

The DL6WU Yagi series uses an impedance-setting cell with relatively wide spacing to establish a native 50-Ohm feedpoint impedance for direct feed. The reflector-driver spacing is 0.20 wavelength, and the driver-director-1 spacing is 0.075 wavelength for all versions in the trial series. The result is a very wide operating passband, relative to the usual 2:1 50-Ohm SWR standard. Although the impedance column of Table 2 shows some variability of the 432-MHz impedance, especially with shorter boomlengths, the SWR curves for the entire set of designs shows a lower limit just above 405 MHz and and upper limit just under 460 MHz.

Fig. 4 displays SWR curves for the first 4 Yagis in the series. Note that within the extended passband of the design, the number of dips in SWR value increases from 3 to 6 between 405 and 460 MHz. These dips are a function of the undulations in both resistance and reactance at the feedpoint. As we increase the number of elements, the frequency increment between dips decreases. At the lower end of the specturm, adding elements tends to force the first dip higher in frequency, while the higher-end dips compress in frequency spacing before disappearing. At the low end of the spectrum, when the former first dip is too far from the passband edge, a new dip forms. Since the frequency span between SWR dips is larger at the lower end of the operating passband, the "new dip" formation is easier to see.

Fig. 5 shows the SWR curvers for Yagis with 22 through 40 elements. The ratio of the longest boom to the shortest in this set is similar to the boomlength ratio for the first 4 Yagis in the set. However, the entire set shows only 6 or 7 dips, depending upon boom length. Still, the set of curves does show clearly the gradual compression of passband space between dips and the development of a new lower-end dip.

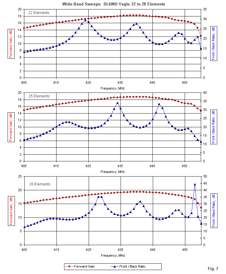
To graphically illustrate the wide-band performance, we may examine for reference graphs of free-space gain and 180-degree front-to-back performance for each of the Yagis in the trial series. Fig. 6, Fig. 7, and Fig. 8 present the relevant graphs in clusters to permit easier reproduction.

Perhaps the only non-undulating set of wide-band values occurs in the category of forward gain. Table 3 presents the gain behavior data for the set of trial designs. It lists the peak gain and its frequency, along with the differential between the peak gain and the design frequency (432 MHz) gain.

Note that there is a changing value for the frequency of peak gain for each size beam. That value drifts upward, although not in a fully consistent manner. Fig. 9 translates the tabulated data into graphical form, showing the curves for peak and design-frequency gain. The right-hand Y-axis provides the values for the third curve--the differential between peak and design-frequency free-space gain.

Much more undulating are the data sets for 180-degree front-to-back behavior. These data are more intrinsically connected to the changes in feedpoint resistance and reactance. Hence, as the data in Table 4 show, they are subject to the same compression phenomena as the SWR curves. The pattern is a bit different from the pattern shown by the SWR curves. If we increase the number of elements and boomlength, the lowest peak varies in frequency, with the other peaks growing closer to the first peak. New peaks appear at the upper end of the passband. The tabulated pattern shows remarkable consistency.

The general trends among the test versions of the DL6WU Yagi apply to designs of similar boomlengths. However, there will be variations in details as we change the element diameter. Those changes are evidence of the remnant differentials in inter-element coupling that are not removed by changes in the element spacing.

2-Stack Data

We have lingered over the properties of the extended family of DL6WU Yagis for 2 major reasons. First, the 2-meter study displayed only a limited subset of the total family. The 70-cm models provide a wider view of the family's fundamental characteristics. Second, the main focus of this study--the 2-stack behavior of the Yagis--rests upon an understanding of the single-unit performance for each change in the number of elements and the boomlength.

The 2-meter study examined at some length the patterns of front-to-back undulations that occur with changing values of stack spacing. The present study cannot add significantly to that account, however incomplete it might be from an explanatory perspective. What the 70-cm exercise can do is to explore in some detail the question of whether there may be additional forbidden zones as we expand the range of Yagi sizes and the consequential stacking space values.

With the exception of restricting data to free-space values, the procedure for determining the optimal spacing for maximum gain of a 2-stack at 432-MHz was the same as used in the 2-meter study. The increment for each trial was 0.1 wavelength. Table 5 lists the output of those trials. In some cases, the spacing is listed as n.n5 wavelengths. This notation indicates that two adjacent spacing values yielded the same maximum gain value. Hence, the average is listed. However, the associated front-to-back value is for the lower of the two heights.

The notations "flat up" and "flat down" indicate that, above (up) and below (down) the optimal maximum gain spacing, the gain remained almost constant for a considerable range of spacing values. The "flat" gain value was rarely more than about 0.05 dB lower than the peak value. The existence of these flat regions strongly suggests that there are multiple forbidden zones. Fig. 10 shows the maximum stack gain and compares it with the gain for a single unit at the design frequency. The increase, as shown in the tabular data, is remarkably consistent across the range of boomlengths, running between 3.12 and 3.16 dB.

A more vivid portrait of the modeled optimal (maximum-gain) stacking space values appears in Fig. 11. The 3 separate forbidden zones or spacing-value jumps appear between 10 and 13 elements, between 19 and 22 elements, and between 34 and 37 elements. As a function of the number of elements, the large steps make little intuitive sense. As well, if we examine the associate values of free-space gain values, the steps lack a sense of intuitive order. However, if we look at the median boomlength values, we find values approximating 3, 6, and 12 wavelengths for the three steps. Then, if we look at the median spacing value in the forbidden zones, we obtain the (approximate) sequence of 2, 3, and 4 wavelengths. Although one can create a progression from these pairs of values, the basic values are too crude to permit anything but speculation. Hence, we shall have to content ourselves with only the pattern at present.

Also evident from Fig. 11 is the fact that the modeled values of optimal stack spacing for maximum gain far exceed the standard calculations of those values. Table 6 provides the data behind the graphed lines.

The RSGB equation comes from The VHF/UHF DX Book, page 7-8.

Dopt = lambda / (2 sin (phi / 2))

Lambda is a wavelength in any desired unit of measure, and phi is the relevant half-power beamwidth of a single antenna unit in degrees or radians, as preferred. Dopt is the optimal distance or spacing between Yagis in the same unit of measure as specified for lambda. The dl6wu-gg.exe calculations are based on lines 2630 to 2710 of the original program (in pre-compiled Basic):

2630 BH = 30 - 3.14 * (G1 - 14)  'Correlation from published patterns of DL6WU yagis
2640 PRINT #1, USING "        Horizontal beamwidth = ##.# deg"; BH
2650 BV = BH / COS(BH / (2 * 57))  'Over-estimates BV for shorter yagis
2660 PRINT #1, USING "          Vertical beamwidth = ##.# deg"; BV
2670 SH = 51 / BH
2680 PRINT #1, "      Suggested stacking distances for 2 yagis:"
2690 PRINT #1, USING "                  Horizontal = #### mm = ###.# inches = #.## wavelengths"; SH * MM; SH * INCH; SH
2700 SV = 51 / BV
2710 PRINT #1, USING "                    Vertical = #### mm = ###.# inches = #.## wavelengths"; SV * MM; SV * INCH; SV

BH and BV are the horizontal and vertical beamwidths for the calculated Yagi design. The horizontal beamwidth derives from published DL6WU design patterns, and the vertical beamwidth is calculated as a simple function of the horizontal beamwidth. The calculated estimates of spacing are them simply 51 / beamwidth for the horizontal and the vertical cases. Both the vertical beamwidth and the stacking distance formulas used in dl6wu-gg.exe are ad hoc developments from small bits of apparent emprical experience.

The simplified calculation of stack spacing within dl6wu-gg.exe produces the smallest values. The RSGB equation produces larger values. However, neither set of computations comes appreciably close to the modeled values. This condition applies whether we examine 2-stacks over ground--as in the 2-meter study--or stacks in free-space--as in the present exercise. Moreover, neither system of calculation predicts the forbidden or "no-peak-gain" zones or describes their location in terms of boomlength or spacing values. Nonetheless, the repetition of the zones through 2 series of 2-meter beams and this extended 70-cm study produces a consistent body of modeling results that appear both in free-space and over-ground environments.

A Special Note on DL6WU Yagi Element Calculations

The program dl6wu-gg.exe is readily available from the website maintained by Ian White, G3SEK. See "Technical Notebooks". The information focuses on VHF/UHF and contains important antenna, filter, moonbounce, and circuitry data. Ian writes the highly respected monthly RadCom "In Practice" column. The program for calculating DL6WU elements is in a ZIP file that includes the compiled program that runs under DOS and a text (.txt) file containing the original Basic code for the program. The latest revisions appear to have been made in 2003. Lines 1369 through 1547 contain the element calculations in conjunction with data from lines 2100 to 2220.

The element spacing in the program is a frozen set of data values. Hence, only the element lengths are adjusted for differences in diameter. There are also adjustments for direct contact with metallic booms and for insulated through-boom construction. For these note, the dimension presume a non-conductive boom or elements that are well insulated and isolated from the boom. When you add the log functions that determine element length taper along the boom to the adjustment factors, the resulting equations are beyond the discussion scope of these notes, but readily accessible in the program.

The standard DL6WU Yagi uses a reflector-to-driver spacing of 0.20 wavelength, with a driver-to-director-1 spacing of 0.075 wavelength. These values are not the only ones possible. David Tanner, VK3AUU, has developed an alternative design program for DL6WU beams using a different set of element spacings in the impedance-setting cell. His reflector-to-driver spacing is 0.183 wavelength, with a driver-to-director-1 spacing of 0.081 wavelengths. As a consequence, his element spacing and element length algorithms differ somewhat from those in dl6wu-gg.exe. Fig. 12 provides a comparison between his values and those of dl6wu-gg.exe for Yagis up to 40 elements for our exercise design frequency of 432 MHz, where a wavelength is about 694 mm. The tables in the graphic are aligned so that the differing element designations create minimal confusion. As well, VK3AUU's dimensions are in centimeters, while the dl6wu-gg.exe-derivatives are in millimeters.

The differences in overall boom and element lengths are small, but not wholly insignificant, especially for elements closer to the impedance-setting cell. The calculations are available in an Excel spreadsheet. For further information, contact David Tanner, Korumburro Road, Drouin South 3818, Australia, or (via e-mail) at vk3auu@vic.australis.com.au.

Conclusions

Extending the study of long-boom Yagi 2-stacks to 40 elements and 14 wavelengths of boom, while using a wholly different element diameter, has achieved several suggestive modeling results.

1. The new set of DL6WU Yagis confirms the modeled 2-meter forbidden zone found in the vicinity of a 3 wavelength boom and a stack space of 2 wavelengths.

2. The extension of the Yagi series to boomlengths of 14 wavelengths uncovered 2 more forbidden zones, one with a 6 wavelength boom and a spacing of 3 wavelengths, the other with a 12 wavelength boom and a spacing of 4 wavelengths (approximately).

3. The modeled optimal stacking distances for maximum gain considerably exceed values produced from earlier techniques for estimating the value of Dopt.

The extensive examination of the properties and characteristics of the DL6WU series of Yagis represented a necessary pre-condition of ascertaining that the series form a sufficiently reliable sequence to validate the results, at least in terms of NEC-4 modeling output. Indeed, the DL6WU series of Yagis is worth investigation as not only a classic design scheme, but also as an opening into understanding Yagi properties in general. Especially significant are the design criteria in terms of what parameters are held to close tolerances (for example, feedpoint impedance, operating bandwidth, and maximum gain). Equally important are parameters allowed to seek their own values or to undulate, such as the feedpoint resistance and reactance and the 180-degree front-to-back ratio. Since the question most asked about 2-stack spacing concerns maximum gain, the reliability of the maximum gain point relative to the design frequency and the repeatability of that relationship from one boomlength to the next qualified the DL6WU series as a reasonably reliable indicator of 2-stack spacing behaviors.

For the more limited 2-meter study, we examined at least 2 Yagi design series--each having different design criteria--in order convert an initial finding into something suggestive of general stack behavior. We owe it to the study of longer Yagis to do the same. The generalized question is whether or not--for some other sequence of Yagi designs--the forbidden zones will appear with the same boomlengths and the same stack spacing. Since finding a suitable Yagi design sequence is half the battle, we shall have to await part 2 to see what emerges.

Updated 09-01-2005. © L. B. Cebik, W4RNL. Data may be used for personal purposes, but may not be reproduced for publication in print or any other medium without permission of the author.

Go to Part 2: 10- to 40-Element VK3AUU Examples

Go to Main Index