70-CM Yagi Stacks
Part 2: 10- to 40-Element VK3AUU Examples

L. B. Cebik, W4RNL

Part 1 of this study of stacked 70-cm Yagis explored the properties of DL6WU beams ranging from 10 to 40 elements or 2.15 to 14.0 wavelengths of boom. After looking extensively--but incompletely--at the properties of single units, we found that 2-stacks exhibited an interesting characteristic hinted at by the earlier 2-meter study of shorter-boom Yagi stacks. The so-called forbidden zone of spacing distances between Yagis in the stack proved to be periodic. It occurred with boomlengths of approximately 3, 6, and 12 wavelengths and stacking space values of about 2, 3, and 4 wavelengths, respectively.

Redoing the work with a different Yagi series is a necessary condition of transforming a characteristic of a particular Yagi series into a more general characteristic of long-boom Yagis. If the same characteristic appears with a second Yagi series--especially if the design principals differ from those applied to the first series--then the characteristic is most likely more general. However, re-appearance of the characteristic is not a sufficient condition of total generality. Rather, the results are suggestive and perhaps even usable in the form of expectations of Yagis in general.

At the same time, study of a second Yagi series opens the way to seeing in what ways the characteristic may change form as the beam design principals vary. Lack of change is not a certification that the characteristic does not change for any Yagi design series. However, the presence of change might offer suggestive insights into the characteristic pattern of the so-called forbidden zone phenomenon.

Critical to the extended study is the selection of a suitable second Yagi design series. The OWA series of Yagis used in the 2-meter study has not been extended beyond 20 elements. Hence, that series is out, despite the intersting design facet of very low forward side-lobe strength and even the disappearance of some sidelobes. I also have on file an old long-boom Hy-Gain model for 432 MHz, reportedly based on a Joe Reisart, W1JR design. Unfortunately, the maximum length available to me is 32 elements. Although I can shorten the design, I do not have the algorithms for lengthening it to 40 elements.

Another possible series is the product of Steve Powlishen, K1FO. This series has appeared for many editions of The ARRL Antenna Book, and appears on pages 18-28 through 18-40 of the 20th edition. The original design algorithms appear in QST for December, 1987, and January, 1988. Hence, the work is nearly 20 years old. One drawback to the use of this series is that the element lengths require adjustment as one uses the beam in specified lengths. Moreover, boom lengths are almost the same as those used in the DL6WU series. A 40-element 432-MHz K1FO design has a boomlength of 9360 mm, compared to a boomlength of 9726 mm for the same number of elements in a DL6WU design. The K1FO impedance-setting cell is designed for an inherently lower feedpoint impedance--perhaps close to 30 Ohms--with the intention of using a Tee match and balun.

Perhaps a better choice for extending the study of 2-stack behavior in long-boom Yagis is a design that, for for any given number of elements, ends up with a boomlength that differs from the corresponding DL6WU design. David Tanner, VK3AUU, was noted in the previous episode of this study for his variant design algorithms for DL6WU-type Yagis. Why we might call these Yagis DL6WU variants rather than a distinct Yagi series involves a number of Yagi features. First, the elements form a continuous length taper defined by the design algorithms. Second, for any set number of elements, the boomlength will be very close to the length of a standard DL6WU Yagi. Distinct long-boom Yagi designs tend to vary one or the other of these properties. The overall length may differ for a given number of elements. Alternatively, the element taper may differ from the steady rate of shortening of new directors. Some designs show pairs of equal-length elements periodically in the director series. Other designs have shown up to 4 equal-length directors occurring periodically in the sequence. A third reason for treating the VK3AUU series as a DL6WU variant is that this is the way in which VK3AUU has labeled this part of his work.

However, VK3AUU also shared a different Yagi design that deserves more attention from US builders than it appears to have received to this date. The design effort arose out of a desire to exert more control over the Yagi properties, while simultaneously limiting the boom length to about 8 meters. The original design used 42 elements in the 8-meter space with 1/8" (0.125" or 3.175 mm) diameter elements. This beam seemed appropriate as the foundation for the present study, but with a few modifications for more direct comparison with the DL6WU series presented in Part 1.

VK3AUU 432-MHz Beam Characteristics

In order to make sense out of the results of stack modeling in NEC-4, it is first necessary to understand the properties of the VK3AUU 432-MHz design. In fact, what we shall examine is an unauthorized variation of the initial design that first enlarges the element diameter to 4 mm, to coincide with the element diameter used by the DL6WU series of Yagis. The process of re-sizing the beam also involved returning the feedpoint impedance to very close to 50 Ohms. The result tends to displace the gain peak slightly, since in the original version, the gain peak occurred at the design frequency.

Table 1 shows the dimensons of the altered design up through 40 elements. Although not expressly countenanced by the designer, the beam is amenable to trimming by the removal of directors and no other changes. Hence, from the chart, we may also derive and create models of beams with 10, 13, 16, 19, 22, 25, 28, 31, 34, 37, and 40 elements for use in our stacking survey.

As with the DL6WU Yagi series, this exploration will confine itself to free-space models. Regardless of Yagi design differences, the new Yagi series suffers the same modeling limitations as the earlier series. A 70-cm wavelength is short enough that placing the antenna at a reasonable height above ground--say 30' to 50'--requires a very small increment of elevation angle change in the pattern readout in order to accurately capture the maximum gain of the lowest lobe. The use of free-space patterns allows data extraction with 1-degree intervals in the pattern, reducing the time required for each trial stacking separation value. For gain over ground, add nearly 6 dB to the free-space values to obtain the corrected figure.

Table 2 lists the free-space performance of single VK3AUU nits for each boom length and number of elements. The table contains the same information that we gathered for the DL6WU series, so you may directly compare the entries for each increment of element numbers.

As we raise the number of elements, the gain rises smoothly, but, of course, not linearly, and for the same reasons that apply to any Yagi series. See Fig. 1. Gain is largely a function of boomlength and not the number of elements. The DL6WU series used a constant space between directors from the 10th onward. However, the VK3AUU series alters the director spacing as well as the director length for each new forward element. The corresponding DL6WU gain values appear on the graph for reference.

The gain values achieved by the VK3AUU Yagis for any given number of elements are lower than for the corresponding number of elements in a DL6WU array. That fact results from the shorter boomlength used by the VK3AUU series. Fig. 2 compares boomlengths for each increment of element numbers in both series. The VK3AUU boomlength averages about 0.75 of the DL6WU boomlength, but varies from about 71% at 13 elements to about 77% at 40 elements.

The boom lengths for the 2 series of Yagis do not coincide for the samples except occasionally. However, the few cases in which boomlengths roughly correspond do confirm the dependence of gain on the boomlength rather than on the number of elements. Here are 3 widely separated cases.

VK3AUU                                       DL6WU
Boomlength     Number of      Free-Space     Boomlength     Number of      Free-Space
wavelengths    Elements       Gain dBi       wavelengths    Elements       Gain dBi
3.117          16             15.17          3.225          13             15.28
6.882          28             17.91          6.815          22             17.82
10.792         40             19.46          10.415         31             19.35

In Table 2, the horizontal and vertical (E-plane and H-plane) front-to-sidelobe values are especially interesting. In the VK3AUU series, the horizontal ratio averages 19.56 dB, while the vertical ratio averages 16.94 dB. We may contrast these values to those for the DL6WU series: 16.73 dB horizontally and 14.68 dB vertically. The improvement not only includes a significant reduction in sidelobe strength, but as well the beginning of some suppression. Fig. 3 shows representative E-plane (azimuth) and H-plane (elevation) patterns for the 10-, 25-, and 40-element versions of the array. Due to the differences of boom length for any number of elements, do not expect the same number of lobes as in the corresponding patterns for DL6WU arrays. See Fig. 2 in the last episode. Instead, attend to the shape of the lobes. In the free-space patterns for the DL6WU series, each lobe has a corresponding very deep null. In contrast, the nulls between lobes in the VK3AUU series are shallower, indicating an incipient merging of lobes and the possible disappearance of some lobes in very long-boom versions.

Sidelobe control is one aspect of the VK3AUU overall specifications for long-boom Yagi design. The design also provides tighter control over the feedpoint impedance than exercised by the DL6WU series. In that series, the impedance-setting cell used a reflector-to-driver spacing of 0.20 wavelength and a driver-to-director-1 spacing of 0.075 wavelength. The VK3AUU series uses a reflector-to-driver spacing of about 0.192 wavelength, with a driver-to-director-1 spacing of about 0.033 wavelength. These changes result in differences in the spacing of the early directors. More significantly, they also result in a stronger control over the variations in feedpoint resistance and reactance, with a consequential widening of the total bandwidth over which one may operate the beam. The total bandwidth increase to a range from just over 400 MHz to just under 460 MHz. Because variations in the SWR curves are small from one size beam to the next, we may represent the curves by selected samples at element numbers of 10, 25, and 40. See Fig. 4.

As we increase the number of elements, we also gradually increase the number of SWR dips toward a 1:1 value. However, the minimum-to-maximum value ranges, especially within the 420-450-MHz amateur band, tend to be smaller than for the DL6WU series. The revision to the impedance-setting cell thus creates a greater degree of control over the feedpoint performance of the array.

Wide-band gain and front-to-back performance are also more completely controlled in the VK3AUU series. To illustrate this fact, we may again use only a few samples, this time for 16, 28, and 40 elements. Fig. 5 shows the wide-band gain and front-to-back curves for these representative members of the series. In general, the range of gain across the wide passband is only marginally smaller than for the corresponding DL6WU designs. As well, the range does not change very much for eather series as we change the number of elements and the resulting boomlength. The variation runs from nearly 4 dB up to about 5.5 dB across the span of all beam sizes.

To the degree possible, the VK3AUU design attempts to place maximum gain at the design frequency. In frequency sweeps of all of the trial models over the full SWR passband of the beam, the peak gain fregency varies by a much smaller amount than in DL6WU designs, relative to the design frequency. Some of the departure is a function of the modifications made in order to use elements with the same diameter in both series. Some of the departure is simply a function of the fact that the initial design was for 42 elements, with resultant variations in performance that emerge from uncorrected director removal. Table 3 shows the gain performance of the VK4AUU series.

Fig. 6 shows the small variation between design frequency gain and peak gain in these modified models. Note especially the curve for the differential, the value of which appears on the right-hand Y-axis. Compared to the corresponding curve for the DL6WU series of Yagis, the rate of change is much more regular, as well as having a much smaller range of values.

Because the range of boomlengths for the VK3AUU Yagis is smaller than for the DL6WU set, the front-to-back ratio tends to show fewer peaks for any given number of elements. Table 4 provides data on the front-to-back performance. Despite differences in the number of front-to-back peak values (for the 180-degree front-to-back ratio), the behavior is similar to that of the DL6WU series. It shows the same compression, movement of peak frequencies, and emergence of new peaks as we increase the number of elements in the array. However, within the 70-cm amateur band, the VK3AUU Yagis tend to show a minimum front-to-back ratio in excess of 20 dB for all except the two shortest versions. The DL6WU series showed a higher variability in the front-to-back values, even when werestrict the data to the amateur band limits.

The VK3AUU Yagi series has some features in common with the DL6WU series. The front-to-back behavior and the variation of gain across the widest usable passband (as defined by a 2:1 50-Ohm SWR ratio) are cases in point. However, the VK3AUU series exerts greater control in many areas of beam performance, especially in the smoothness of the in-band SWR curve (and the resistance and reactance curves from which the SWR curves result), in the achievement of good working values of front-to-back ratio for virtually all boom lengths, and in the coincidence of the maximum gain frequency and the design frequency. Using more elements for a given boomlength provides for the greater control, at the expense of gain, of course.

2-Stack Characteristics

As with all of the trials designs to obtain the 2-stack optimal spacing for maximum gain, each free-space stack of VK3AUU Yagis went through numerous models. Each new trial increased the stacking distance by 0.1 wavelength. The data presented is only a small part of the data gathered. Table 5 shows the stacking performance in a form that allows direct comparison with the tabulated data for the DL6WU Yagi series in the preceding phase of the study. Some of the DL6WU data appears at the right to facilitate comparisons. Spacing entries of the for n.n5 wavelengths indicate that the 0.1 wavelength increments on either side of that value showed the same peak gain. In some cases, the curves for the VK3AUU series are shallow enough to have 3 spacing increments with the same peak gain. The associated front-to-back ratio is for the smallest separation in those cases.

The gain of the 2-stack over the gain of a single unit in free-space varies over a small range: from 3.08 to 3.16 dBi. Fig. 7 shows the progression of gain values for both single units and for 2 stacks.

Because the boomlengths of VK3AUU arrays do not reach the 12 wavelength mark, we find only 2 forbidden zones. They appear at approximate boomlengths of 3 and 6 wavelengths, with corresponding separations of about 2 and 3 wavelengths, respectively. These forbidden zones coincide--at least roughly--with those for DL6WU Yagis having similar boomlengths. The key to finding those zones in the tabulatred data is to find the entries that list "flat up" and "flat down" notations. As with all other cases of forbidden zones, there is a region of level gain just above or just below the peak value. The level gain value is usually within about 0.1 dB of the peak value and the flat curves represent a highly usable and non-critical region of stack spacing.

The VK3AUU Yagis tend to show much smaller variations in the 180-degree front-to-back value across the region. For example, the 25-element Yagi 2-stack shows a peak gain of 20.46 dBi at 2.6 wavelengths of separation. For spacing above that level up to a separation of 3.6 wavelengths, the gain drops only to 20.42 dBi. From separations of 2.6 through 3.6 wavelengths, the front-to-back ratio varies from a minimum of 21.22 dB to a maximum of 21.98 dB. The next Yagi in the series uses 28 elements. Peak gain appears over a broad region from 3.2 to 3.5 wavelengths of separation. The flat region below those values down to about 2.6 wavelengths of spacing has a gain of no less than 20.96 dBi. Over the same region, the front-to-back ratio varies from 21.83 dB to 22.76 dB. In both cases, the total front-to-back variation is under 1 dB. The 28-element VK3AUU Yagi 2-stack is very close to being a true double-hump case, having two peaks with a slightly lower gain in the region between the separations yielding peak values. As noted in earlier episodes, however, the exact peak behavior of free-space models and of models taken at some operating height above ground may vary. Hence, the boomlength that shows the double-hump phenomenon in free space may be slightly longer than the boomlength for the same phemoenon over ground.

The differences in design between the VK3AUU and DL6WU series of beams do not affect the relative inadequacy of standard methods of estimating the stacking spacing. Table 6 shows both the calculated and modeled optimal spacing values for maximum gain. The calculated value uses modeled beamwidths and the same RSGB equation used in preceding episodes, where lambda is a wavelength and phi-h is the vertical or H-plane beamwidth.

Fig. 8 provides a more dramatic presentation of the same data. The smooth curve represents the calculated values of optimal separation for the beams. The stepped curve shows the modeled values. In all cases, NEC-4 models indicate a wider spacing than the standard calculations. For the longest boomlength, the difference amounts to a full wavelength.

As a handy reference, Fig. 9 shows the spacing graphs for both the VK3AUU and the DL6WU series of 2-stacked Yagis. Once more, the X-axis uses the number of elements. However, the true coincidence between the separation curves appears when we translate those registrations into the boomlengths that apply to the individual beams in each series. One fact that the graph makes evident is that the rate of required increase in spacing for an increasing boomlength that does not reach the next jump or forbidden zone is lower than the calculations suggest.

A 2-stack of Yagis calls for in-phase feeding of the Yagis. To see what the effects of such a system might be, I created a model using one of the numerous systems available to effect a single feedpoint. The test case was the 25-element VK3AUU design that calls for a spacing of 2.6 wavelengths. The in-phase feeding system consisted of two equal lengths of 70-Ohm transmission line. Since each line must transform the 50-Ohm Yagi feedpoint impedance to 100 Ohms for parallel connection at the junction, the required electrical length for each line is 1.75 wavelengths. This specification allows for cables with velocity factors as low as 0.743 if the lines run vertically between driven elements.

The net effect of the use of in-phase feeding--apart from losses--is to reduce the operating passband of the array somewhat. The exact reduction for any Yagi 2-stack will depend upon the level of resistance and reactance excursions at the individual feedpoints. For the 25-element array, the passband was 410 to 455 MHz, a reduction of 10 MHz at the lower end of the spectrum and 5 MHz at the upper end.

Fig. 10 shows the frequency sweep of the array with respect to free-space gain and front-to-back ratio. For all frequencies, the stack gain curve shows between 3.0 and 3.1 dB additional gain over a single unit. Stacking does not significantly effect the gain improvement across the usable passband. The front-to-back ratio curves do not change from those associated with a single unit. Peak values occur in the vicinity of 423, 439, and 454 MHz points on the graph. See Table 4 for the single-unit front-to-back frequencies.

With in-phase feeding systems that effect an impedance transformation, the operating passband width depends on the stability of the feedpoint resistance and reactance at each Yagi driver. The VK3AUU impedance performance is very stable and results in a wide stacked passband. Fig. 11 presents the resistance, reactance, and SWR excursions at the junction of the two phaselines that yield close to a 50-Ohm impedance for use with a standard coaxial cable or hardline.

Like all impedance transformation systems based on odd-multiples of a quarter wavelength, the reactance curve changes its orientation, showing increased inductive reactance below the design frequency and increased capacitive reactance above the design frequency. Note that both the resistance and reactance curves undulate. The range between minimum and maximum values should be as low as possible in a well-controlled system. The VK3AUU impedance setting cell described earlier achieves a high degree of control so that SWR values are very low throughout the 70-cm amateur band (420-450 MHz). The single-unit SWR curve showed dips (minimum values) at 420, 432, 449, and 457 MHz. The corresponding dips in the stacked array appear at 432, 444, and 450 MHz. These dips correspond to the last 3 dips in the single-unit sequence. The lowest single-unit dip at 420 MHz is missing from the stack performance curve.

The stacking gain must in all cases be decreased by the losses in the in-phase-feed lines. The total physical line length that would not be present for a single unit is 3.5 wavelengths. Apart from small losses attaching to connectors and connections, hardline calculations suggest a loss of about 0.1 dB. High quality 70-75-Ohm coaxial cables may present losses approaching 0.2 dB. Lower grade coaxial cables increase the loss to between 0.4 and 0.5 dB. You may estimate the phase-line losses (and any cable losses) with programs like TLD (AC6LA) and TLW (N6BV/ARRL). However, be certain to add a small increment for connection imperfections and for weathering. For the system at hand, line losses in the in-phase feeding system do not present a serous challenge to the use of a 2-stack. In any event, the challenge is not nearly so great as the mechanical chellenge of building and support a long-boom 2-stack.

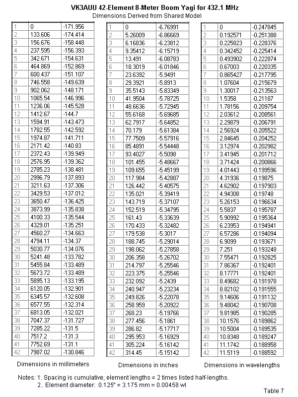
A Special Note on the Original VK3AUU 42-Element Yagi

Since these notes on stacking VK3AUU-type arrays used a modified version, it seems only fair to the beam's originator to present a bit of data on the basic design. It used 0.125" diameter elements in a design for 432.1 MHz, with maximum gain at the design frequency. For reference, Table 7 presents the original dimensions in millimeters, inches, and wavelengths.

The design-frequency performance--using lossless elements as originally supplied in the model--is a free-space gain of 19.87 dBi, a front-to-back ratio of 36.91 dB, and a feedpoint impedance of 52.2 - j0.5 Ohms. The horizontal front-to-sidelobe ratio is 19.74 dB. Fig. 12 provides a set of free-space patterns for the array at its design frequency.

The original array has thinner elements than the modifications used in this study. As well, the SWR curve is not centered around the design frequency. Hence, the passband shows a relatively sharp cut-off just above the upper end of the 70-cm amateur band. The source resistance drops to about 25 Ohms, although the reactance shows a remarkably small range (just over 10 Ohms) across the band. The gain remains within 0.5 dB of the peak value throughout the band, and the minimum front-to-back ratio is about 28 dB.

The concept of using more elements on a shorter boom has a long history in Yagi design. The VK3AUU array uses them to exert control over more operating characteristics than most other Yagi designs. When boomlengths reach the 8- to 10-meter mark, 1 to 2 extra elements per wavelength represent an almost insignificant weight and windload addition to an already unwieldy boom. Consequently, the VK3AUU Yagi design techniques deserve considerable study by all early 21st-century Yagi designers.

Conclusions

Exploration of the VK3AUU Yagi series provided us with beam samples that use a different boomlength for the same number of elements as a DL6WU design. As a result, they serve as a means of confirming--in at least a strongly suggestive way--the generality of some of the stacking behaviors that we have observed. The forbidden zones reappear at the same boomlengths and associated spacing distances in both series of Yagis. For the Yagi stacker, the fruits of the forbidden are 1. a relatively broad range of spacing in which gain is at or near peak value and 2. a set of non-finicky adjustments.

The higher control over antenna operating characteristics exhibited by the VK3AUU Yagi series does reduce the front-to-back value excursions and thus contributes to the generally broad range of options for the stacker. As well, the VK3AUU series shows as broad or slightly broader SWR operating passband than the DL6WU series, helping to ensure that the beams can be replicated in a home workshop and stacked with relative confidence in the operating results.

In the end, the 2-meter and 70-cm explorations of 2-stacks also suggest strongly that the various means of estimating the proper stacking distance that are in popular use today require considerable revision. If the modeling in this study bears out in carefully designed and executed range tests, then the optimal spacing separation in a 2-stack will be considerably wider than present equations tend to predict. An adequate equation will have to take into account the forbidden zone and the consequential jump in spacing value. As well, such an equation would need to account for the relatively slow rise in separation that occurs between jump points.

One limitation of this study of both the DL6WU and VK3AUU Yagi series is that they both use samples at every 3-element increment of boomlength increase. As a result, these preliminary notes miss considerable fine detail in the development of both single-unit and stack properties from the shortest to the longest Yagis in each series. A fuller modeling study would have to investigate the Yagis for each new element added. That body of data would exceed by a wide margin the available space for these notes. However, I have undertaken such a study for the DL6WU and other series of large Yagis. The results appear in Long-Boom Yagi Studies, which is available from antenneX on CDROM.

Although this episode marks the completion of the study--so far as it has gone--much territory remains for fertile exploration. 3-stacks and 4-stacks of long-boom Yagis are not unknown. As well, many long-boom Yagi users create horizontal pairs, squares, and diamonds of Yagis to maximize gain. Hence, much more investigation remains for the explorer with the patience to probe the various combinations of Yagis that make up present and future stacks. The 2-stack is only a fascinating beginning.

Updated 09-01-2005. © L. B. Cebik, W4RNL. Data may be used for personal purposes, but may not be reproduced for publication in print or any other medium without permission of the author.

Go to Main Index